首页 > 考研 > 真题题库 > 内蒙古考研 > 2005内蒙古考研数学一真题及答案

2005内蒙古考研数学一真题及答案(Word版)

时间:2022-02-17 15:10:00   来源:无忧考网     [字体:小 中 大]

【文档名称】 2005内蒙古考研数学一真题及答案(Word版).doc

【文档格式】 Word版

【文档下载】 点击下载WORD文档

【文档预览】 无忧考网整理发布2005内蒙古考研数学一真题及答案(Word版),前五页预览如下:


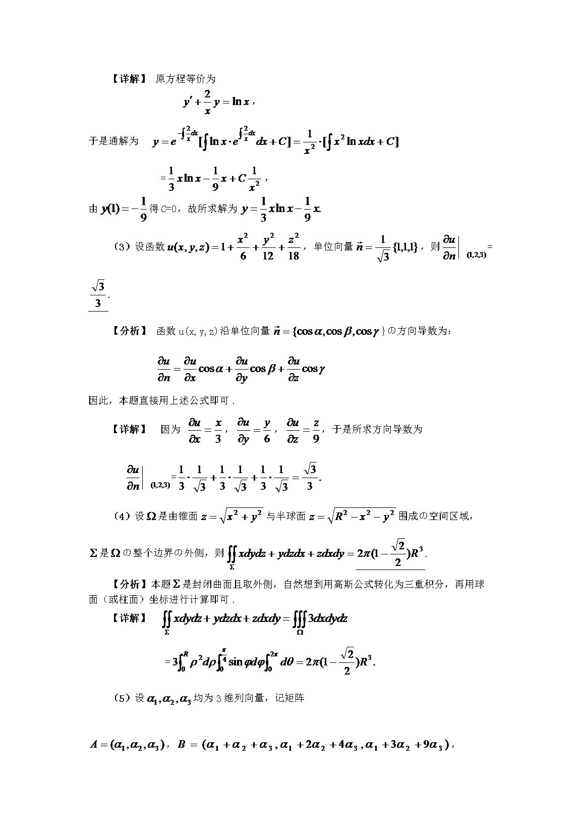
2005内蒙古考研数学一真题及答案.doc
立即下载Word高清文档,方便收藏和打印
编辑推荐:
下载Word文档
=考研试题推荐=
  • 2024年内蒙古农业大学社会工作原理考研真题
  • 2024年内蒙古农业大学社会工作实务考研真题
  • 2024年内蒙古农业大学森林作业环境学考研真题
  • 2024年内蒙古农业大学农业知识综合四考研真题
  • 2024年内蒙古农业大学马克思主义中国化考研真题
  • 2024年内蒙古农业大学马克思主义基本原理考研真题
  • 2024年内蒙古农业大学林业基础知识综合考研真题
  • 2023年内蒙古农业大学农业知识综合四考研真题
  • 查看考研全部真题>>
考研内蒙古热点文章排行榜
  • 2024年内蒙古农业大学社会工作原理考研真题
  • 内蒙古2025年考研成绩什么时候出来 预计2月24
  • 内蒙古考研时间2025年考试时间及科目:2024年
  • 2024年内蒙古农业大学社会工作实务考研真题
  • 2024年内蒙古农业大学农业知识综合四考研真题
  • 2025年内蒙古硕士研究生招生考试复试交费系统(已
  • 2025年内蒙古研究生考试成绩查询入口(已开通)
  • 2024年内蒙古农业大学林业基础知识综合考研真题