【#教师资格考试# #2022下半年天津中小学教师资格考试笔试成绩查询时间、方式及入口【12月9日8时起】#】©无忧考网从中国教育考试网发布的《2022下半年中小学教师资格考试(笔试)成绩的通知》得知,2022下半年天津中小学教师资格考试笔试成绩查询时间、方式及入口已公布,12月9日上午8:00起可查分,具体详情如下:

1.成绩查询时间
2022下半年天津中小学教师资格考试(笔试)成绩于2022年12月9日上午8:00公布。请考生错峰查询。
温馨提示:
考生参加中小学教师资格考试,所报类别笔试各科成绩均合格,且成绩在有效期内者,方可参加面试报名。2022下半年天津中小学教师资格考试(面试)报名工作将于12月9日开始。笔试和面试科目均合格的考生,可获得由教育部考试中心颁发的《中小学教师资格考试合格证明》。面试成绩公布后,成绩合格的考生,可自行登录网站“合格证查询”栏目,查询、下载、打印PDF格式“网页版”的考试合格证明。该证明是申请教师资格认定的必要条件,有效期3年。
2.成绩查询方式
1.中国教育考试网
网址:http://ntce.neea.edu.cn/ntce/
2.中国教育考试网微信小程序
使用微信手机APP,可通过扫描下方小程序码,或在微信中搜索“中国教育考试网”小程序进入查询。

3.中国教育考试网百度小程序
使用百度手机APP,扫描下方小程序码进入查询。

3.成绩查询入口
点击进入>>>2022下半年天津中小学教师资格考试笔试成绩查询入口
4.成绩有效期
中小学教师资格证笔试单科成绩有效期为2年。有效期内,相应类别笔试要求的单科成绩全部合格者,方可参加面试。笔试和面试均合格者由教育部考试中心颁发教师资格考试合格证明。教师资格考试合格证明有效期为3年。
各类别中小学教师资格考试(笔试)单科成绩有效期均为2年。
例如:参加2022年上半年笔试,合格科目有效期至2024年6月30日;参加2022年下半年笔试,合格科目有效期至2024年12月31日。
各类别中小学教师资格考试(面试)科目合格成绩单次有效。面试通过即可获得《中小学教师资格考试合格证明》,该合格证明有效期为3年。
例如:通过2022年上半年面试,合格证明有效期至2025年6月30日;通过2022年下半年面试,合格证明有效期至2025年12月31日。
5.笔试合格标准
卷面分为150分,按标准转换为120分制的70分为通过。笔试合格线由教育部考试中心确定,具有合格分数线以当次考试成绩查询结果为准。
6.笔试成绩报告分解释
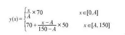
众所周知,教师资格证笔试总分为150分。但是,教师资格证笔试成绩都是以报告分展现。那么,教师资格证笔试成绩报告分是什么意思呢?
根据下图教师资格证笔试成绩示例,教师资格证报告分满分120分,70分及以上为合格。

教师资格证考试卷面分为150分,教育部根据考试标准和当次考试情况,确定各科目全国统一的笔试合格分数线。由于各个科目难度存在差异,其合格分数线不尽相同。为统一各科目的合格分数线,采用线性转换的方法,将考生0~150分量表上的原始成绩换算为0~120分量表上的转换分,并使各科目的合格分数线统一转换为70分。
分数转换方法如下:
设某科目原始成绩合格分数线为A(0<150),若考生在该科目的原始成绩为x(0≤x≤150),则转换分y(x)(0≤y(x)≤120)的计算公式为:<150),若考生在该科目的原始成绩为x(0≤x≤150),则转换分y(x)(0≤y(x)≤120)的计算公式为: 举例来说,设两个科目的合格分数线分别为A1和A2,则转换分y(x)关于原始成绩x的函数图像如图所示: 通过上述线性转换,各科目的合格分数线均转换为70分,且转换不改变考生成绩的高低顺序。原始成绩低于合格分数线的考生,换算后的转换分在70分以下;原始成绩高于合格分数线的考生,换算后的转换分在70分以上。 7.信息来源

原文标题:关于发布2022下半年中小学教师资格考试(笔试)成绩的通知
文章来源:https://ntce.neea.edu.cn/html1/report/2212/464-1.htm
